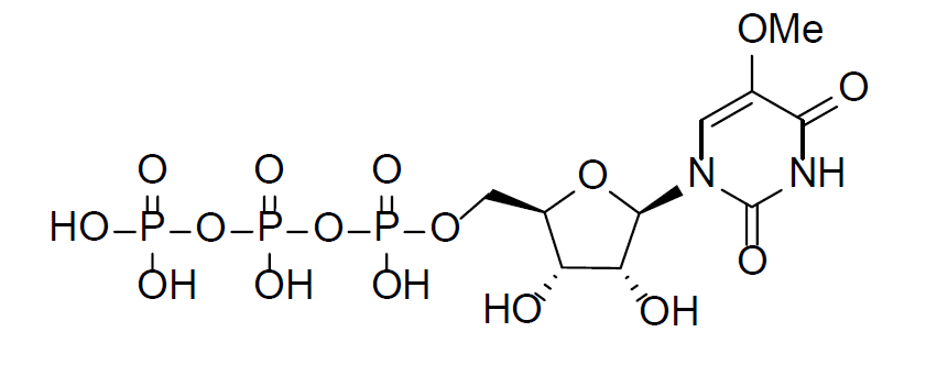
5OMeUTP

| Cat.NO. |
HN1025 |
| Molecular Formula | C10H176N2O16P3(Free acid) |
| Molecular Weight | 514.17(Free acid) |
| CAS | 71376-96-0(Free acid) |
| Concentration | 100 mM |
| Specifications | 100 μL、1 mL |
| Purity | HPLC ≥95% |
| Salt type | TEA+ |
| Storage Conditions | store at -15°C. |
Details
Download
