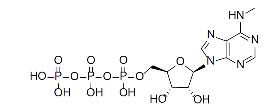
m6ATP

| Cat.NO. |
HN1024 |
| Molecular Formula | C11H18N5O13P3(Free acid) |
| Molecular Weight | 521.21(Free acid) |
| CAS | NA |
| Concentration | 100 mM |
| Specifications | 100 μL、1 mL |
| Purity | HPLC ≥99% |
| Salt type | Na+ |
| Storage Conditions | store at -20°C. |
Details
Download
